Single Family
Single Family
🍳 Gourmet Kitchen
💎 Miami Vena Quartz Countertops
🍷 Butler’s Pantry
🪵 Luxury Vinyl Plank Flooring
🚿 Tiled Walk-In Shower
🌳 14×10 Covered Porch
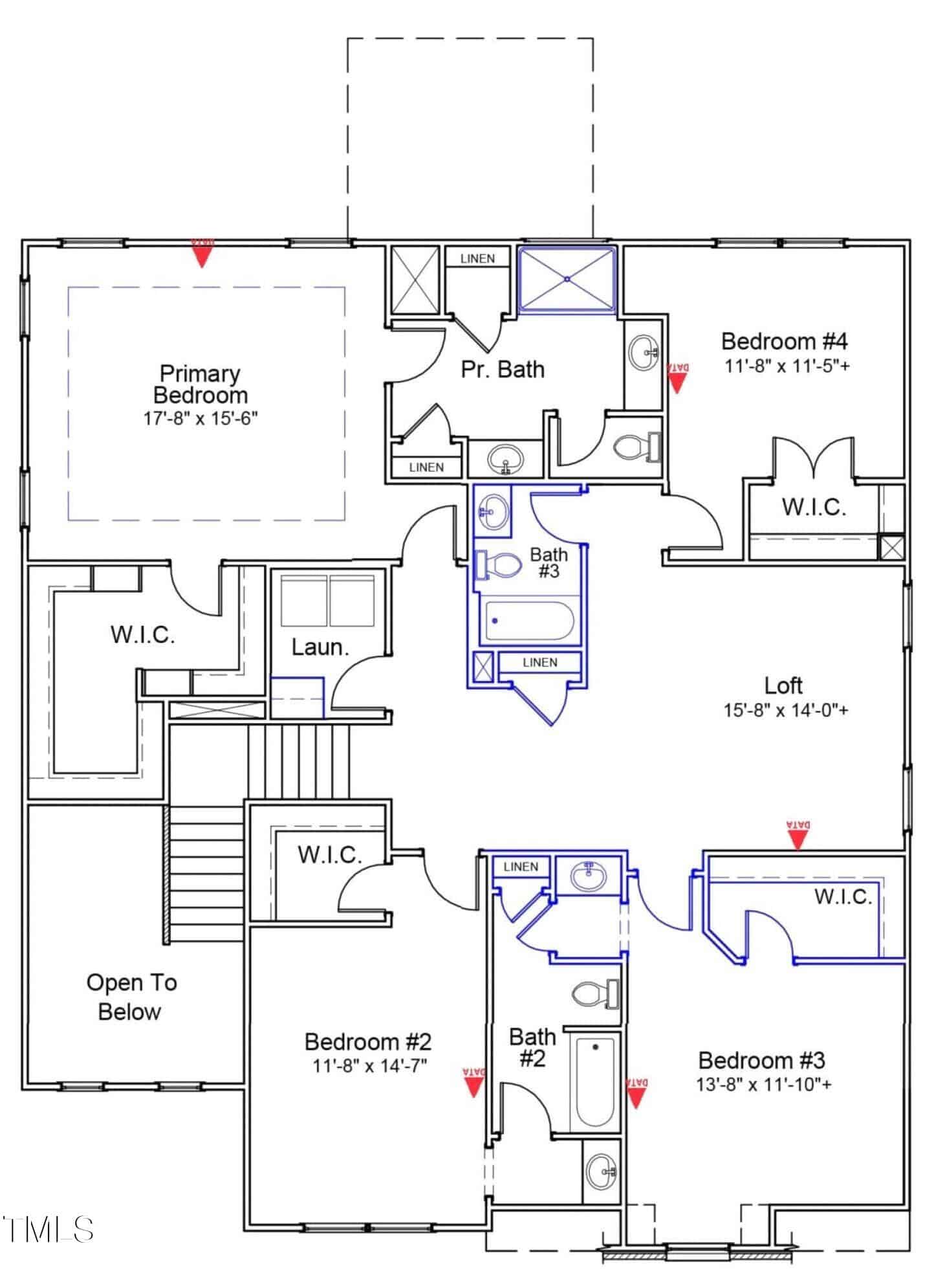
Beautiful 5-bedroom home on a very private lot—with no neighbors on one side! This home features an oversized side-entry 2-car garage and a main-level guest suite with full bath.
Durable and stylish luxury vinyl plank flooring spans the entire first floor, upstairs hallway, and loft.
The gourmet kitchen is thoughtfully designed with upgraded Brellin full-overlay soft-close cabinetry, a 5-burner gas cooktop, built-in oven with convection microwave, concealed-control stainless steel dishwasher, Miami Vena quartz countertops, pendant lighting, stylish tile backsplash, large island, and crown molding.
The formal dining room stands out with arched entryways, a coffered ceiling, and access to a butler’s pantry. The great room features a crown molding, ceiling fan, and abundant natural light.
Upstairs, the primary suite boasts a tray ceiling, plush carpet, and a huge walk-in closet. The spa-like bath includes a tiled walk-in shower, tile flooring, dual vanities with quartz counters, and two linen closets.
Generously sized secondary bedrooms all include walk-in closets, and the spacious loft provides flexible living space for a media room, office, or playroom.
Step outside to a 14×10 covered porch overlooking a large, private backyard—perfect for relaxing or entertaining.
Stylish, functional, and move-in ready by the end of September—don’t miss this incredible opportunity!
Beautiful 5-bedroom home on a very private lot—with no neighbors on one side! This home features an oversized side-entry 2-car garage and a main-level guest suite with full bath. Durable and stylish luxury vinyl plank flooring spans the entire first floor, upstairs hallway, and loft. The gourmet kitchen is thoughtfully designed with upgraded Brellin full-overlay soft-close cabinetry, a 5-burner gas cooktop, built-in oven with convection microwave, concealed-control stainless steel dishwasher, Miami Vena quartz countertops, pendant lighting, stylish tile backsplash, large island, and crown molding. The formal dining room stands out with arched entryways, a coffered ceiling, and access to a butler’s pantry. The great room features a crown molding, ceiling fan, and abundant natural light. Upstairs, the primary suite boasts a tray ceiling, plush carpet, and a huge walk-in closet. The spa-like bath includes a tiled walk-in shower, tile flooring, dual vanities with quartz counters, and two linen closets. Generously sized secondary bedrooms all include walk-in closets, and the spacious loft provides flexible living space for a media room, office, or playroom. Step outside to a 14×10 covered porch overlooking a large, private backyard—perfect for relaxing or entertaining. Stylish, functional, and move-in ready by the end of September—don’t miss this incredible opportunity!
Date
Status
Price
2025-05-23
Active
$590,857
2025-06-24
Price Decrease
$589,000
2025-07-25
Price Decrease
$579,000
2025-09-24
Under Contract
$579,000
2025-10-24
Sold
$581,680
Documents Source: Doorify MLS IDX Feed
Examining another house that is similar, nearby, and recently sold can help determine if the price of this home for sale is priced appropriately.


This level of clarity is how we work with every buyer and seller.
When you partner with Second Story Realty, you get a team that studies the market deeply, explains the “why” behind the numbers, and guides you with transparency at every step.
You can contact us to talk strategy, ask questions, or schedule a showing, we will help you take the next step with confidence.

Brokers make an effort to deliver accurate information, but buyers should independently verify any information on which they will rely in a transaction. The listing broker shall not be responsible for any typographical errors, misinformation, or misprints, and they shall be held totally harmless from any damages arising from reliance upon this data. This data is provided exclusively for consumers’ personal, non-commercial use.
Listings marked with an icon are provided courtesy of the Doorify MLS, Inc. of North Carolina, Internet Data Exchange Database.
Copyright 2025 Doorify MLS, Inc. of North Carolina. All rights reserved.
Closed (sold) listings may have been listed and/or sold by a real estate firm other than the firm(s) featured on this website. Closed data is not available until the sale of the property is recorded in the MLS. Home sale data is not an appraisal, CMA, competitive or comparative market analysis, or home valuation of any property.

50 Guardian Street
Youngsville, NC 27596
50 Guardian Street
Youngsville, NC 27596
$581,680
$581,680
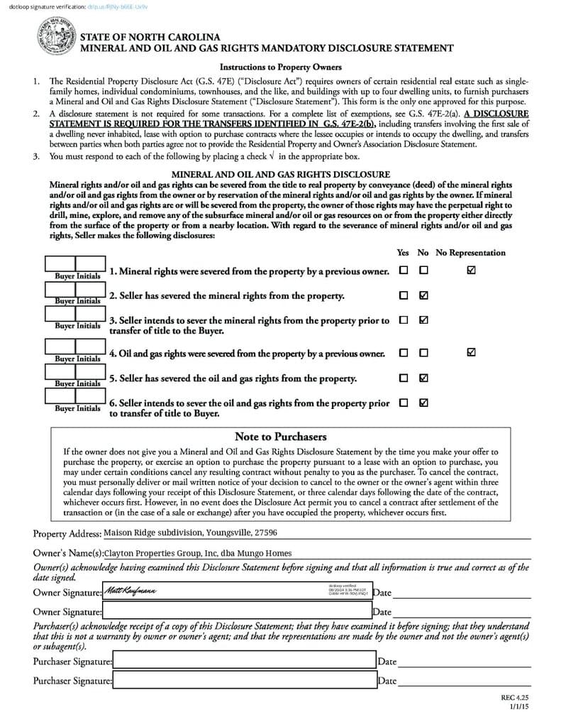
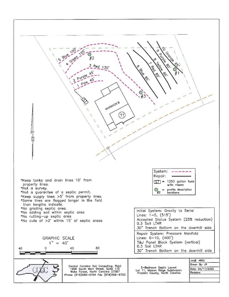
Maison Ridge – Youngsville Township – Franklin County

50 Guardian St
Youngsville
5 br
3382 sqft
$581,680
TWP Youngsville
CTY Franklin
SUB Maison Ridge