Single Family
Single Family
🏊 Pool Potential
🍳 Gourmet Kitchen
💎 Miami Oro Quartz Countertops
🪵 Luxury Vinyl Plank Flooring
☀️ Bright Sunroom
🛁 Spa-Like Bath
Exceptionally private 1-acre homesite with pool potential—offering peace, space, and nearly no surrounding neighbors!
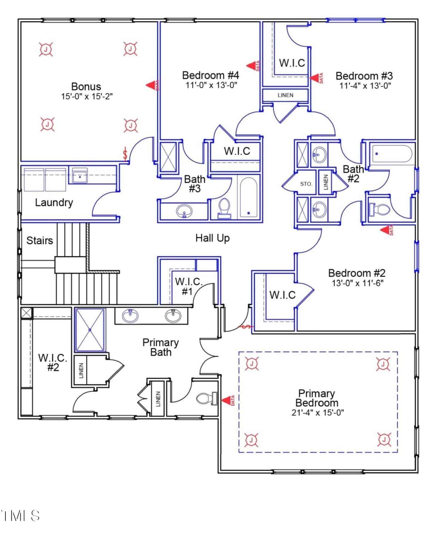
This thoughtfully designed floor plan features a main-level guest suite with private full bath, a dedicated office with French doors, and a bright sunroom filled with natural light.
Luxury vinyl plank flooring extends throughout the entire first floor, upstairs hallway, and large private bonus room—both stylish and low-maintenance.
The gourmet kitchen is a true centerpiece, showcasing upgraded Brellin PureStyle Greyhound full-overlay soft-close cabinetry, a 5-burner gas cooktop, built-in oven with convection microwave, concealed-control stainless steel dishwasher, and Miami Oro quartz countertops. Finishes include a stunning Mesmerist Hexagon tile backsplash, pendant lighting, a large island with seating, and elegant crown molding.
The great room features a coffered ceiling and crown molding, and opens directly into the sunroom, where expansive windows offer serene, private views of mature trees and natural light throughout.
Upstairs, the primary suite is a true retreat—featuring a tray ceiling with crown, plush carpeting, ceiling fan, and multiple windows. The spa-like bath includes a tiled walk-in shower with a sitting ledge, dual quartz vanities, his-and-hers walk-in closets, and two linen closets for exceptional storage.
Additional highlights include a large laundry room with upper cabinets and a granite folding counter for everyday convenience.
With a private setting, high-end finishes, and a flexible, elegant layout, this home stands out as a rare opportunity for comfort, luxury, and space.
Exceptionally private 1-acre homesite with pool potential—offering peace, space, and nearly no surrounding neighbors! This thoughtfully designed floor plan features a main-level guest suite with private full bath, a dedicated office with French doors, and a bright sunroom filled with natural light. Luxury vinyl plank flooring extends throughout the entire first floor, upstairs hallway, and large private bonus room—both stylish and low-maintenance. The gourmet kitchen is a true centerpiece, showcasing upgraded Brellin PureStyle Greyhound full-overlay soft-close cabinetry, a 5-burner gas cooktop, built-in oven with convection microwave, concealed-control stainless steel dishwasher, and Miami Oro quartz countertops. Finishes include a stunning Mesmerist Hexagon tile backsplash, pendant lighting, a large island with seating, and elegant crown molding. The great room features a coffered ceiling and crown molding, and opens directly into the sunroom, where expansive windows offer serene, private views of mature trees and natural light throughout. Upstairs, the primary suite is a true retreat—featuring a tray ceiling with crown, plush carpeting, ceiling fan, and multiple windows. The spa-like bath includes a tiled walk-in shower with a sitting ledge, dual quartz vanities, his-and-hers walk-in closets, and two linen closets for exceptional storage. Additional highlights include a large laundry room with upper cabinets and a granite folding counter for everyday convenience. With a private setting, high-end finishes, and a flexible, elegant layout, this home stands out as a rare opportunity for comfort, luxury, and space.
Date
Status
Price
2025-05-09
Active
$624,612
2025-06-06
Price Decrease
$619,000
2025-06-24
Price Decrease
$615,000
2025-07-25
Price Decrease
$609,000
2025-08-05
Under Contract
$609,000
2025-09-29
Sold
$612,600
Documents Source: Doorify MLS IDX Feed
Examining another house that is similar, nearby, and recently sold can help determine if the price of this home for sale is priced appropriately.


This level of clarity is how we work with every buyer and seller.
When you partner with Second Story Realty, you get a team that studies the market deeply, explains the “why” behind the numbers, and guides you with transparency at every step.
You can contact us to talk strategy, ask questions, or schedule a showing, we will help you take the next step with confidence.

Brokers make an effort to deliver accurate information, but buyers should independently verify any information on which they will rely in a transaction. The listing broker shall not be responsible for any typographical errors, misinformation, or misprints, and they shall be held totally harmless from any damages arising from reliance upon this data. This data is provided exclusively for consumers’ personal, non-commercial use.
Listings marked with an icon are provided courtesy of the Doorify MLS, Inc. of North Carolina, Internet Data Exchange Database.
Copyright 2025 Doorify MLS, Inc. of North Carolina. All rights reserved.
Closed (sold) listings may have been listed and/or sold by a real estate firm other than the firm(s) featured on this website. Closed data is not available until the sale of the property is recorded in the MLS. Home sale data is not an appraisal, CMA, competitive or comparative market analysis, or home valuation of any property.

55 Guardian Street
Youngsville, NC 27596
55 Guardian Street
Youngsville, NC 27596
$612,600
$612,600
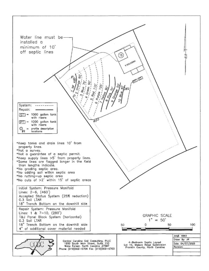
Maison Ridge – Youngsville Township – Franklin County

55 Guardian St
Youngsville
4 br
3718 sqft
$612,600
TWP Youngsville
CTY Franklin
SUB Maison Ridge