Land
Land
🌊 Rare Building Lot With POND
🌳 Mostly Wooded Lot
🐎 Mini ”farm” With Horses
🐄 Cows Allowed
🚜 Zoned AR
📍 Serene Countryside
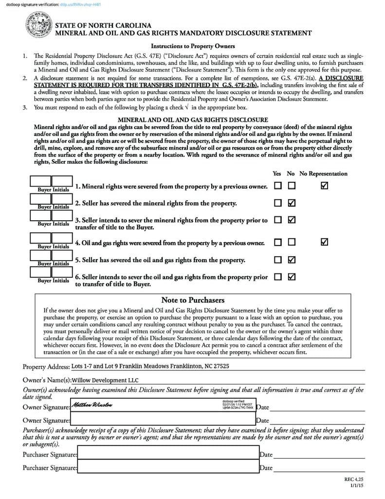
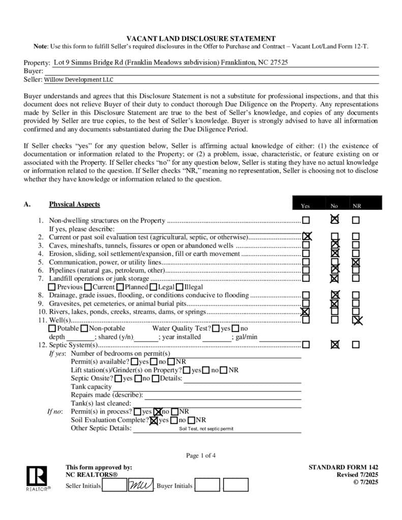
Rare building lot with POND on it! This is Lot 9 of Franklin Meadows, a new community of just eight 10-acre lots located on serene countryside only a few miles northeast of downtown Franklinton. Mostly wooded lot on slightly rolling terrain provides the ultimate privacy. Choose your own builder to create your dream home. Build a practical homestead, an elegant estate, or a mini ”farm” with a few horses or cows (please see livestock restrictions in the covenants and potential limitations to business operations on residential zoning). More than one location with suitable soils for septic (soils map available). Buyers are responsible for obtaining their own septic permit. Zoned AR for Agricultural Residential, this lot cannot be subdivided. Please see the covenants for minimum building requirements. This is a rare opportunity that does not come around often.
Rare building lot with POND on it! This is Lot 9 of Franklin Meadows, a new community of just eight 10-acre lots located on serene countryside only a few miles northeast of downtown Franklinton. Mostly wooded lot on slightly rolling terrain provides the ultimate privacy. Choose your own builder to create your dream home. Build a practical homestead, an elegant estate, or a mini ”farm” with a few horses or cows (please see livestock restrictions in the covenants and potential limitations to business operations on residential zoning). More than one location with suitable soils for septic (soils map available). Buyers are responsible for obtaining their own septic permit. Zoned AR for Agricultural Residential, this lot cannot be subdivided. Please see the covenants for minimum building requirements. This is a rare opportunity that does not come around often.
Date
Status
Price
2026-03-05
Active
$210,000
2026-03-16
Under Contract
$210,000
2026-05-15
Sold
$210,000
Documents Source: Doorify MLS IDX Feed
Examining another house that is similar, nearby, and recently sold can help determine if the price of this home for sale is priced appropriately.


This level of clarity is how we work with every buyer and seller.
When you partner with Second Story Realty, you get a team that studies the market deeply, explains the “why” behind the numbers, and guides you with transparency at every step.
You can contact us to talk strategy, ask questions, or schedule a showing, we will help you take the next step with confidence.

Brokers make an effort to deliver accurate information, but buyers should independently verify any information on which they will rely in a transaction. The listing broker shall not be responsible for any typographical errors, misinformation, or misprints, and they shall be held totally harmless from any damages arising from reliance upon this data. This data is provided exclusively for consumers’ personal, non-commercial use.
Listings marked with an icon are provided courtesy of the Doorify MLS, Inc. of North Carolina, Internet Data Exchange Database.
Copyright 2025 Doorify MLS, Inc. of North Carolina. All rights reserved.
Closed (sold) listings may have been listed and/or sold by a real estate firm other than the firm(s) featured on this website. Closed data is not available until the sale of the property is recorded in the MLS. Home sale data is not an appraisal, CMA, competitive or comparative market analysis, or home valuation of any property.

Lot 9 Sims Bridge Road
Franklinton, NC 27525
Lot 9 Sims Bridge Road
Franklinton, NC 27525
$210,000
$210,000
Franklin Meadows – Franklinton Township – Franklin County

Lot 9 Sims Bridge Rd
Franklinton
br
sqft
$210,000
TWP Franklinton
CTY Franklin
SUB Franklin Meadows