Single Family
Single Family
📜 Classic History
🏚️ Renovation Project
📐 1600 Square Foot Basement
🌳 2.72 Acres
🚗 Detached Large Garage
🏠 Bonus Space Above
INVESTOR ALERT!!!! This grand 1940’s era home is looking for its next owner. Its interior is rich in classic history and would make an awesome home for a renovation project.
Vast in size with a large 1600 square foot basement it relishes in endless possibilities. Located on 2.72 acres, with a detached large garage with bonus space above. Call listing agent for details.
INVESTOR ALERT!!!! This grand 1940’s era home is looking for its next owner. Its interior is rich in classic history and would make an awesome home for a renovation project. Vast in size with a large 1600 square foot basement it relishes in endless possibilities. Located on 2.72 acres, with a detached large garage with bonus space above. Call listing agent for details.
Date
Status
Price
2024-07-11
Active
$375,000.00
2024-08-23
Price Decrease
$371,000.00
2024-09-19
Price Decrease
$365,000.00
2024-10-24
Price Decrease
$359,900.00
2024-12-05
Price Decrease
$355,900.00
2024-12-27
Under Contract
$355,900
2025-01-14
Back on Market
$355,900
2025-02-06
Under Contract
$355,900
2025-03-05
Sold
$320,000
Documents Source: Doorify MLS IDX Feed
Examining another house that is similar, nearby, and recently sold can help determine if the price of this home for sale is priced appropriately.


This level of clarity is how we work with every buyer and seller.
When you partner with Second Story Realty, you get a team that studies the market deeply, explains the “why” behind the numbers, and guides you with transparency at every step.
You can contact us to talk strategy, ask questions, or schedule a showing, we will help you take the next step with confidence.

Brokers make an effort to deliver accurate information, but buyers should independently verify any information on which they will rely in a transaction. The listing broker shall not be responsible for any typographical errors, misinformation, or misprints, and they shall be held totally harmless from any damages arising from reliance upon this data. This data is provided exclusively for consumers’ personal, non-commercial use.
Listings marked with an icon are provided courtesy of the Doorify MLS, Inc. of North Carolina, Internet Data Exchange Database.
Copyright 2025 Doorify MLS, Inc. of North Carolina. All rights reserved.
Closed (sold) listings may have been listed and/or sold by a real estate firm other than the firm(s) featured on this website. Closed data is not available until the sale of the property is recorded in the MLS. Home sale data is not an appraisal, CMA, competitive or comparative market analysis, or home valuation of any property.

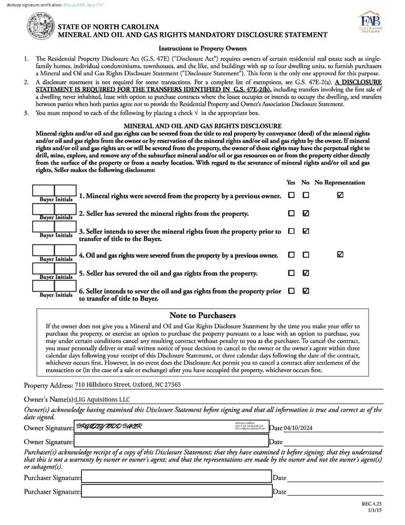
710 Hillsboro Street
Oxford, NC 27565
710 Hillsboro Street
Oxford, NC 27565
$320,000
$320,000
Not in a Subdivision – Fishing Creek Township – Granville County

710 Hillsboro St
Oxford
2 br
3019 sqft
$320,000
TWP Fishing Creek
CTY Granville
SUB Not in a Subdivision