Single Family
Single Family
🏛️ Historical Farm House
🌳 Over 20 Acres
🛌 Primary Suite On The Main Floor
✨ Tastefully Renovated
🍃 Nature Lovers Paradise
🤫 Privacy Galore
Fantastic opportunity to own a historical farm house on over 20 acres. The house features 4 bedrooms and 2 full baths.
The first floor has been tastefully renovated with the primary suite on the main floor. Privacy galore and nature lovers paradise. So many possibilities.
Fantastic opportunity to own a historical farm house on over 20 acres. The house features 4 bedrooms and 2 full baths. The first floor has been tastefully renovated with the primary suite on the main floor. Privacy galore and nature lovers paradise. So many possibilities.
Date
Status
Price
2025-08-21
Coming Soon
$495,000
2025-08-26
Active
$495,000
2025-10-27
Price Decrease
$480,000
2025-10-31
Under Contract
$480,000
2026-01-22
Sold
$467,500
Documents Source: Doorify MLS IDX Feed
Examining another house that is similar, nearby, and recently sold can help determine if the price of this home for sale is priced appropriately.


This level of clarity is how we work with every buyer and seller.
When you partner with Second Story Realty, you get a team that studies the market deeply, explains the “why” behind the numbers, and guides you with transparency at every step.
You can contact us to talk strategy, ask questions, or schedule a showing, we will help you take the next step with confidence.

Brokers make an effort to deliver accurate information, but buyers should independently verify any information on which they will rely in a transaction. The listing broker shall not be responsible for any typographical errors, misinformation, or misprints, and they shall be held totally harmless from any damages arising from reliance upon this data. This data is provided exclusively for consumers’ personal, non-commercial use.
Listings marked with an icon are provided courtesy of the Doorify MLS, Inc. of North Carolina, Internet Data Exchange Database.
Copyright 2025 Doorify MLS, Inc. of North Carolina. All rights reserved.
Closed (sold) listings may have been listed and/or sold by a real estate firm other than the firm(s) featured on this website. Closed data is not available until the sale of the property is recorded in the MLS. Home sale data is not an appraisal, CMA, competitive or comparative market analysis, or home valuation of any property.

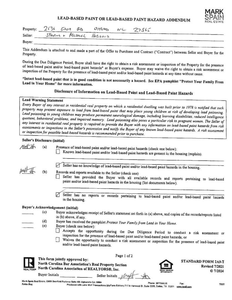
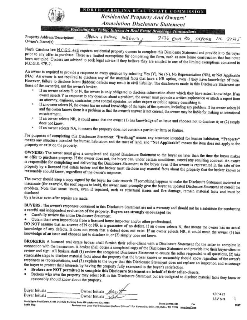
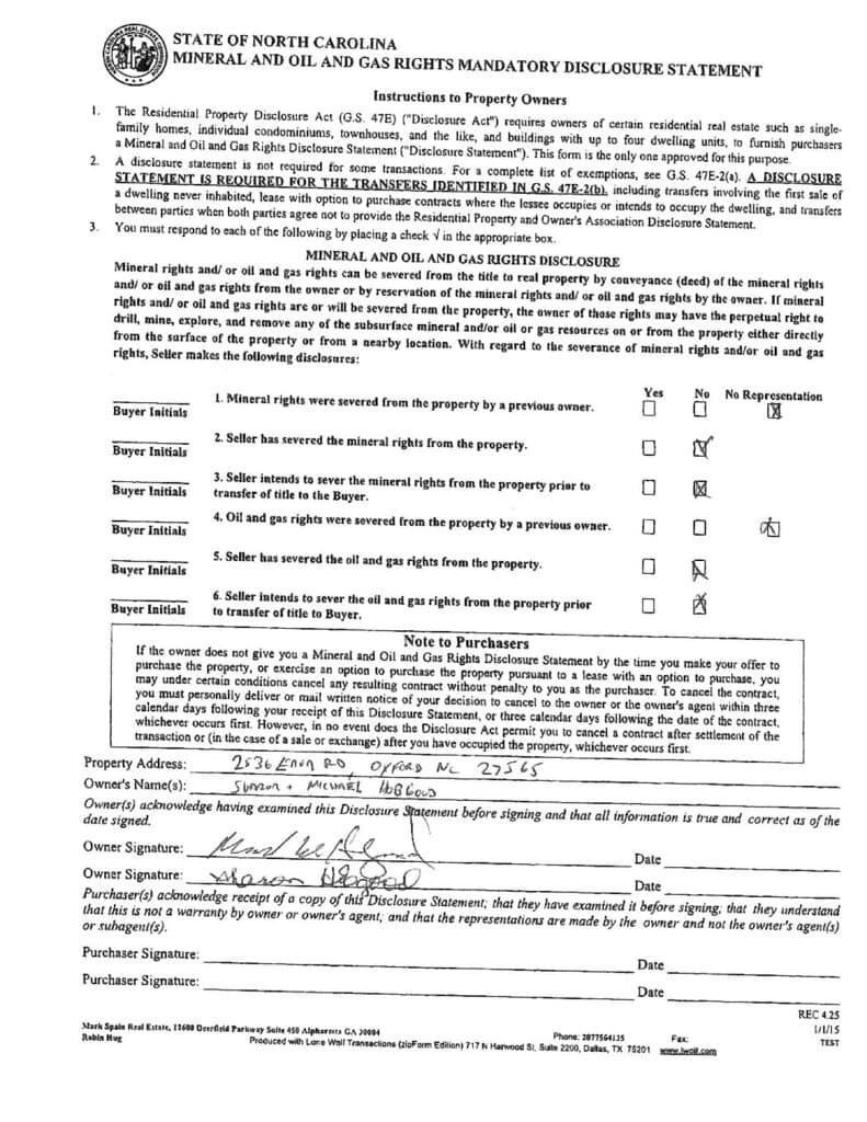
2536 Enon Road
Oxford, NC 27565
2536 Enon Road
Oxford, NC 27565
$467,500
$467,500
Not in a Subdivision – Fishing Creek Township – Granville County

2536 Enon Rd
Oxford
4 br
1967 sqft
$467,500
TWP Fishing Creek
CTY Granville
SUB Not in a Subdivision