Single Family
Single Family
🔥 Living Room With Gas Logs
🍽️ Elaborate Trim
🪵 Composite Decking
🌳 Mature Blooming Landscaping
🐾 Fully Fenced Backyard
🏗️ Sealed Crawl Space
Welcome to 2062 Montgomery Drive – a beautifully maintained 3-bedroom, 2-bath home with a spacious bonus room! The primary suite is conveniently located on the main floor, offering comfort and privacy. Enjoy cozy evenings in the living room with gas logs, and prepare meals with ease in the kitchen featuring abundant cabinet and counter space. The main floor laundry and elegant dining room with elaborate trim add both function and charm.
Step outside to the screened-in porch with durable composite decking, which opens to a patio surrounded by mature, blooming landscaping and a fully fenced backyard—perfect for relaxing or entertaining. A storage shed conveys for added convenience.
Upstairs, you’ll find two generous bedrooms and a versatile bonus room ideal for a home office, gym, or media space.
Sealed crawl space!
Extremely convenient to the popular Franklinton downtown area, Wake Forest, US 1, Hwy 96, and the Creedmoor area—this home offers the perfect blend of location, comfort, and functionality.
Schedule your showing today!
Welcome to 2062 Montgomery Drive – a beautifully maintained 3-bedroom, 2-bath home with a spacious bonus room! The primary suite is conveniently located on the main floor, offering comfort and privacy. Enjoy cozy evenings in the living room with gas logs, and prepare meals with ease in the kitchen featuring abundant cabinet and counter space. The main floor laundry and elegant dining room with elaborate trim add both function and charm. Step outside to the screened-in porch with durable composite decking, which opens to a patio surrounded by mature, blooming landscaping and a fully fenced backyard—perfect for relaxing or entertaining. A storage shed conveys for added convenience. Upstairs, you’ll find two generous bedrooms and a versatile bonus room ideal for a home office, gym, or media space. Sealed crawl space! Extremely convenient to the popular Franklinton downtown area, Wake Forest, US 1, Hwy 96, and the Creedmoor area—this home offers the perfect blend of location, comfort, and functionality. Schedule your showing today!
Date
Status
Price
2025-05-08
Active
$524,900
2025-06-18
Under Contract
$524,900
2025-07-25
Price Decrease
$508,000
2025-07-25
Sold
$508,000
Documents Source: Doorify MLS IDX Feed
Examining another house that is similar, nearby, and recently sold can help determine if the price of this home for sale is priced appropriately.


This level of clarity is how we work with every buyer and seller.
When you partner with Second Story Realty, you get a team that studies the market deeply, explains the “why” behind the numbers, and guides you with transparency at every step.
You can contact us to talk strategy, ask questions, or schedule a showing, we will help you take the next step with confidence.

Brokers make an effort to deliver accurate information, but buyers should independently verify any information on which they will rely in a transaction. The listing broker shall not be responsible for any typographical errors, misinformation, or misprints, and they shall be held totally harmless from any damages arising from reliance upon this data. This data is provided exclusively for consumers’ personal, non-commercial use.
Listings marked with an icon are provided courtesy of the Doorify MLS, Inc. of North Carolina, Internet Data Exchange Database.
Copyright 2025 Doorify MLS, Inc. of North Carolina. All rights reserved.
Closed (sold) listings may have been listed and/or sold by a real estate firm other than the firm(s) featured on this website. Closed data is not available until the sale of the property is recorded in the MLS. Home sale data is not an appraisal, CMA, competitive or comparative market analysis, or home valuation of any property.

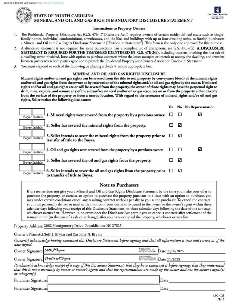
2062 Montgomery Drive
Franklinton, NC 27525
2062 Montgomery Drive
Franklinton, NC 27525
$508,000
$508,000
Montgomery Place – Brassfield Township – Granville County

2062 Montgomery Dr
Franklinton
3 br
2421 sqft
$508,000
TWP Brassfield
CTY Granville
SUB Montgomery Place