Single Family
Single Family
๐ณ Wooded Open Space
๐ณ Huge Center Island
๐ Miami Vena Quartz Countertops
๐ฅ Gas Fireplace
๐ผ Home Office W/ French Doors
๐งบ Granite Folding Counter
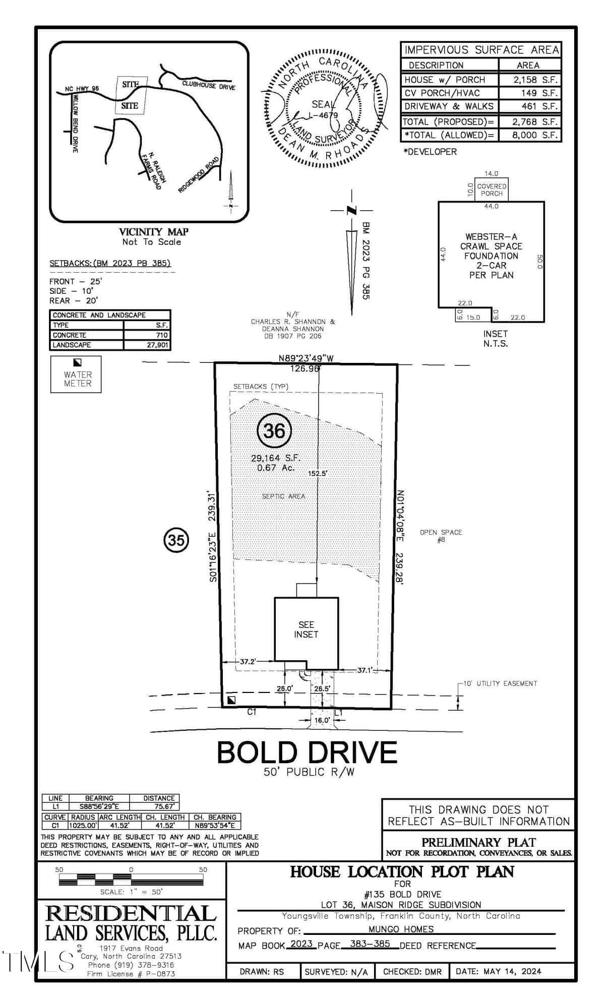
LARGE HOMESITE! WOODED OPEN SPACE TO ONE SIDE! Main Level Guest Suite! LVP Flooring in Open Areas Downstairs!
Kitchen: Gas Cooktop & Built-in Oven/Microwave Combo, Custom Cabinets w/Soft Close Feature, Huge Center Island, ”Miami Vena” Quartz Countertops, Tile Backsplash, Pendant Lights & Crown!
Primary Bed: offers Tray Ceiling w/Crown, Plush Carpet, Lots of Window & Ceiling Fan!
Primary Bath: Tile Flooring, Dual Vanity w/Quartz Countertop, 5′ Tiled Shower, Dual Walk in Closets & Two Linen Closets!
Great Room: w/Coffered Ceiling, Crown, Gas Fireplace, Ceiling Fan & Abundant Natural Light!
Home Office w/French Doors!
Large Laundry Room w/Cabinets & Granite Folding Counter!
LARGE HOMESITE! WOODED OPEN SPACE TO ONE SIDE! Main Level Guest Suite! LVP Flooring in Open Areas Downstairs! Kitchen: Gas Cooktop & Built-in Oven/Microwave Combo, Custom Cabinets w/Soft Close Feature, Huge Center Island, ”Miami Vena” Quartz Countertops, Tile Backsplash, Pendant Lights & Crown! Primary Bed: offers Tray Ceiling w/Crown, Plush Carpet, Lots of Window & Ceiling Fan! Primary Bath: Tile Flooring, Dual Vanity w/Quartz Countertop, 5′ Tiled Shower, Dual Walk in Closets & Two Linen Closets! Great Room: w/Coffered Ceiling, Crown, Gas Fireplace, Ceiling Fan & Abundant Natural Light! Home Office w/French Doors! Large Laundry Room w/Cabinets & Granite Folding Counter!
Date
Status
Price
2024-08-19
Active
$619,966
2024-09-30
Price Decrease
$611,133
2024-10-21
Price Increase
$611,308
2024-11-19
Price Decrease
$610,000
2025-02-04
Price Decrease
$605,000
2025-02-12
Under Contract
$605,000
2025-03-20
Sold
$600,000
Documents Source: Doorify MLS IDX Feed
Examining another house that is similar, nearby, and recently sold can help determine if the price of this home for sale is priced appropriately.


This level of clarity is how we work with every buyer and seller.
When you partner with Second Story Realty, you get a team that studies the market deeply, explains the โwhyโ behind the numbers, and guides you with transparency at every step.
You can contact us to talk strategy, ask questions, or schedule a showing, we will help you take the next step with confidence.

Brokers make an effort to deliver accurate information, but buyers should independently verify any information on which they will rely in a transaction. The listing broker shall not be responsible for any typographical errors, misinformation, or misprints, and they shall be held totally harmless from any damages arising from reliance upon this data. This data is provided exclusively for consumersโ personal, non-commercial use.
Listings marked with an icon are provided courtesy of the Doorify MLS, Inc. of North Carolina, Internet Data Exchange Database.
Copyright 2025 Doorify MLS, Inc. of North Carolina. All rights reserved.
Closed (sold) listings may have been listed and/or sold by a real estate firm other than the firm(s) featured on this website. Closed data is not available until the sale of the property is recorded in the MLS. Home sale data is not an appraisal, CMA, competitive or comparative market analysis, or home valuation of any property.

135 Bold Drive
Youngsville, NC 27596
135 Bold Drive
Youngsville, NC 27596
$600,000
$600,000
Maison Ridge – Youngsville Township – Franklin County

135 Bold Dr
Youngsville
4 br
3675 sqft
$600,000
TWP Youngsville
CTY Franklin
SUB Maison Ridge