Single Family
Single Family
💎 Elegant Quartz Countertops
🍳 Gourmet Kitchen
🔥 Cozy Gas Fireplace
🚿 Tile Walk-In Shower
🛡️ 6-Foot Vinyl Privacy Fence
⚡ Generac Transfer Switch
***SELLER IS OFFERING $5000 BUYER CONCESSION WITH ACCEPTABLE OFFER! Pristine MOVE IN READY 3-bedroom, 2-bath in desirable Lake Royale Community featuring numerous custom upgrades!
Gourmet Kitchen offers elegant quartz countertops, stainless steel appliances, a spacious work island/breakfast bar with a deep undermount sink, soft-close drawers, and a spacious eat-in dining area. Great Room showcases vaulted ceilings, a cozy gas fireplace, and luxurious vinyl plank hardwood flooring. Desirable open, split floor plan enhances the home’s flow and functionality.
Owner’s retreat with a large walk-in closet featuring custom shelving. Luxurious owner’s bath offers marble ceramic tile flooring, elegant tile walk-in shower with an accent niche and bench, and his/her quartz vanities. Bedrooms 2 and 3 include double reach-in closets and 9-foot ceilings.
Home also impresses with its charming curb appeal, featuring a rocking chair front porch, a screened-in rear porch, and a lovely backyard enclosed with a 6-foot vinyl privacy fence. Additional highlights include temperature controlled crawl space, a fully sodded lot, convenient drop zone and Generac transfer switch as wired for a whole house generator
You will LOVE all of the amenities including: 24/7 gated security, swimming pool, 2 beaches, outdoor fitness park, tennis and basketball courts, lakeside clubhouse, open-air pavilion, multiple dock/boat launch areas0n 345 acre lake, campground, 18 hole golf course, playgrounds and more! Just a short commute to Raleigh! Call us today to schedule a private tour!
***SELLER IS OFFERING $5000 BUYER CONCESSION WITH ACCEPTABLE OFFER! Pristine MOVE IN READY 3-bedroom, 2-bath in desirable Lake Royale Community featuring numerous custom upgrades! Gourmet Kitchen offers elegant quartz countertops, stainless steel appliances, a spacious work island/breakfast bar with a deep undermount sink, soft-close drawers, and a spacious eat-in dining area. Great Room showcases vaulted ceilings, a cozy gas fireplace, and luxurious vinyl plank hardwood flooring. Desirable open, split floor plan enhances the home’s flow and functionality. Owner’s retreat with a large walk-in closet featuring custom shelving. Luxurious owner’s bath offers marble ceramic tile flooring, elegant tile walk-in shower with an accent niche and bench, and his/her quartz vanities. Bedrooms 2 and 3 include double reach-in closets and 9-foot ceilings. Home also impresses with its charming curb appeal, featuring a rocking chair front porch, a screened-in rear porch, and a lovely backyard enclosed with a 6-foot vinyl privacy fence. Additional highlights include temperature controlled crawl space, a fully sodded lot, convenient drop zone and Generac transfer switch as wired for a whole house generator You will LOVE all of the amenities including: 24/7 gated security, swimming pool, 2 beaches, outdoor fitness park, tennis and basketball courts, lakeside clubhouse, open-air pavilion, multiple dock/boat launch areas0n 345 acre lake, campground, 18 hole golf course, playgrounds and more! Just a short commute to Raleigh! Call us today to schedule a private tour!
Date
Status
Price
2024-09-11
Active
$349,800
2025-01-03
Price Decrease
$334,900
2025-01-17
Under Contract
$334,900
2025-02-21
Sold
$334,900
Documents Source: Doorify MLS IDX Feed
Examining another house that is similar, nearby, and recently sold can help determine if the price of this home for sale is priced appropriately.


This level of clarity is how we work with every buyer and seller.
When you partner with Second Story Realty, you get a team that studies the market deeply, explains the “why” behind the numbers, and guides you with transparency at every step.
You can contact us to talk strategy, ask questions, or schedule a showing, we will help you take the next step with confidence.

Brokers make an effort to deliver accurate information, but buyers should independently verify any information on which they will rely in a transaction. The listing broker shall not be responsible for any typographical errors, misinformation, or misprints, and they shall be held totally harmless from any damages arising from reliance upon this data. This data is provided exclusively for consumers’ personal, non-commercial use.
Listings marked with an icon are provided courtesy of the Doorify MLS, Inc. of North Carolina, Internet Data Exchange Database.
Copyright 2025 Doorify MLS, Inc. of North Carolina. All rights reserved.
Closed (sold) listings may have been listed and/or sold by a real estate firm other than the firm(s) featured on this website. Closed data is not available until the sale of the property is recorded in the MLS. Home sale data is not an appraisal, CMA, competitive or comparative market analysis, or home valuation of any property.

133 Ottawa Drive
Louisburg, NC 27549
133 Ottawa Drive
Louisburg, NC 27549
$334,900
$334,900
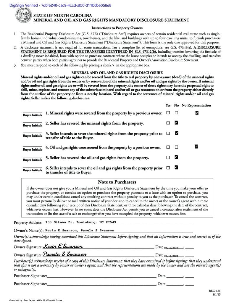
Lake Royale – Cypress Township – Franklin County

133 Ottawa Dr
Louisburg
3 br
1637 sqft
$334,900
TWP Cypress
CTY Franklin
SUB Lake Royale