Single Family
Single Family
👨🍳 Chef-Inspired Kitchen
🍳 Stainless Steel Appliances
👗 Custom Walk-In Closet
🏠 Roof Updated In 2023
🌬️ HVAC Updated In 2023
🌳 Fully Fenced Backyard
Step into comfort and timeless charm with this beautifully updated home, thoughtfully designed for today’s lifestyle. The open-concept floor plan effortlessly connects the living, dining, and kitchen area, creating the perfect setting for lively gatherings, quiet mornings, and cozy evenings at home.
The chef-inspired kitchen is a true standout, featuring stainless steel appliances and stylish finishes that make cooking and entertaining a joy. Retreat to the spacious primary suite, complete with a custom walk-in closet designed for both organization and relaxation.
Enjoy true peace of mind, knowing the major updates are already complete: Roof, Windows, Flooring, HVAC, Water Heater, and Seamless Gutters, all updated in 2023.
Step outside to a fully fenced backyard offering privacy and ample space for pets, play, or entertaining under the beautiful Carolina sky.
All of this is offered at a competitive price, delivering the perfect blend of style, comfort, and value. This is more than a house, it’s a place to call HOME!!
Step into comfort and timeless charm with this beautifully updated home, thoughtfully designed for today’s lifestyle. The open-concept floor plan effortlessly connects the living, dining, and kitchen area, creating the perfect setting for lively gatherings, quiet mornings, and cozy evenings at home. The chef-inspired kitchen is a true standout, featuring stainless steel appliances and stylish finishes that make cooking and entertaining a joy. Retreat to the spacious primary suite, complete with a custom walk-in closet designed for both organization and relaxation. Enjoy true peace of mind, knowing the major updates are already complete: Roof, Windows, Flooring, HVAC, Water Heater, and Seamless Gutters, all updated in 2023. Step outside to a fully fenced backyard offering privacy and ample space for pets, play, or entertaining under the beautiful Carolina sky. All of this is offered at a competitive price, delivering the perfect blend of style, comfort, and value. This is more than a house, it’s a place to call HOME!!
Date
Status
Price
2026-01-22
Active
$200,000
2026-02-21
Price Decrease
$195,000
2026-03-16
Under Contract
$195,000
2026-04-15
Sold
$200,000
Documents Source: Doorify MLS IDX Feed
Examining another house that is similar, nearby, and recently sold can help determine if the price of this home for sale is priced appropriately.


This level of clarity is how we work with every buyer and seller.
When you partner with Second Story Realty, you get a team that studies the market deeply, explains the “why” behind the numbers, and guides you with transparency at every step.
You can contact us to talk strategy, ask questions, or schedule a showing, we will help you take the next step with confidence.

Brokers make an effort to deliver accurate information, but buyers should independently verify any information on which they will rely in a transaction. The listing broker shall not be responsible for any typographical errors, misinformation, or misprints, and they shall be held totally harmless from any damages arising from reliance upon this data. This data is provided exclusively for consumers’ personal, non-commercial use.
Listings marked with an icon are provided courtesy of the Doorify MLS, Inc. of North Carolina, Internet Data Exchange Database.
Copyright 2025 Doorify MLS, Inc. of North Carolina. All rights reserved.
Closed (sold) listings may have been listed and/or sold by a real estate firm other than the firm(s) featured on this website. Closed data is not available until the sale of the property is recorded in the MLS. Home sale data is not an appraisal, CMA, competitive or comparative market analysis, or home valuation of any property.

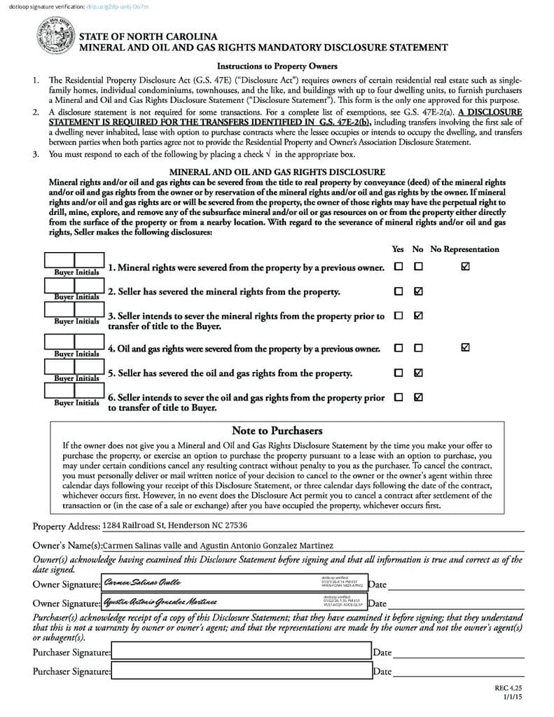
1284 Railroad Road
Henderson, NC 27536
1284 Railroad Road
Henderson, NC 27536
$200,000
$200,000
Not in a Subdivision – Henderson Township – Vance County

1284 Railroad St
Henderson
3 br
1378 sqft
$200,000
TWP Henderson
CTY Vance
SUB Not in a Subdivision